北京敏越科技有限公司

敏越激光传感器专机适配指南

项目名称

敏越激光传感器专机适配指南

拟制

日期

2024 年10 月13 日

复核

日期

2024 年10 月13 日

批准

日期

2024 年10 月13 日

目录

1 概述 4

1.1 适用目标人群 4

1.2 传感器测量原理 4

1.3 常用词汇 4

2 传感器设计原则 5

2.1 机械设计原则 5

2.2 电气设计原则 5

3 传感器与专机通讯连接 6

3.1 激光传感器安装 6

3.2 连接线缆 7

3.3 配置PLC与控制器IP 7

3.3.1 修改传感器的IP地址 8

4 MODBUS TCP通讯 10

4.1 确定MODBUS TCP服务端地址。 10

4.1.1 检测网络 10

4.1.2 打开工控机软件 10

4.1.3 打开专机通讯配置 11

4.1.4 配置端口号和设备号 11

4.1.5 保存参数 12

4.2 标定激光传感器 13

4.2.1 标定说明 13

4.3 MODBUS 通信说明 14

4.3.1 寄存器地址说明 14

4.3.2 通讯流程说明。 17

4.4 焊缝跟踪流程图 19

4.5 焊缝前置距离处理 20

5 PLC程序设计实例 21

5.1 西门子1200程序实例 21

5.1.1 西门子1200程序实例 21

5.1.2 西门子1200程序实例 22

5.1.3 西门子1200通讯FB块 25

5.2 迅捷XL5E PLC通讯实例 26

5.2.1 通讯参数设置 26

5.2.2 打开网络连接 28

5.2.3 打开激光使能,开启跟踪 29

5.2.4 查询偏移量 29

5.3 三菱FX5U PLC通讯实例 31

5.3.1 通讯参数设置 31

5.3.2 通讯参数设置 32

5.3.3 程序主体 34

5.3.4 FB打开连接 35

5.3.5 FB打开使能 36

5.3.6 FB查询偏移量 37

6 常见问题及处理方法 38

6.1 网络常见问题 38

6.2 传感器拍摄常见问题 38

6.3 传感器使用问题 38

概述

适用目标人群

  • 熟练的PLC基础编程知识

  • 具有一定的高级编程知识

  • 具有一定的传感器控制知识

传感器测量原理

焊缝跟踪系统,是一种工业机器人辅助系统。系统由激光传感器与机器人共同组成。传感器有两种工作方式: 寻位与跟踪。根据不同的工件,选择不同的方案。

工作原理:扫描焊缝,拟合成点云图像,算法准确识别特征点,并把运算结果实时数据发送给专机,转化成偏移量,修正或引导专机运行。

常用词汇

传感器:激光传感跟踪器

示教器:专机示教编程器

程 序:以PLC程序的形式存储并带有变量的程序称为用户程序

校 准:校准相机的识别焊缝的相对位置

寻 位:确认基准,寻位后平移,利用空间位置进行 3D 或 2D 平移,

跟 踪:实时焊缝跟踪

传感器设计原则

机械设计原则

  1. 确保传感器对准焊缝后,焊缝在视场中间;

  2. 确保安装的牢固稳定,且有一定刚性;

  3. 安装连接件设计要求灵活,且有一定刚性。

  4. 需要加装有效的防护,防止焊接飞溅影响传感器使用寿命。防护材料推荐使用铜;

  5. 当环境温度过高,传感器温度超过75度,此时需要加装风冷装置,给激光传感器散热。

微信图片_20240508164517

电气设计原则

  1. 确保绝缘可靠且稳定,需要注意焊接飞溅粘连造成绝缘失效;

  2. 交换机要接地,且不可与焊机共地。wps

  3. 交换机一定要接地,可以防止雷击和浪涌冲击,

  4. 焊接附近的线缆需要套上黄腊管进行防护,防止飞溅损失线缆。

传感器与专机通讯连接

激光传感器安装

激光传感器安装查看《安装手册》。

连接线缆

序号

连接线颜色

说明

1

━━━━━━(红色)

█传感器的网线。LAN1

2

━━━━━━(蓝色)

█ PLC 的网线LAN1。

使用网线将传感器的网口与交换机相连;使用网线PLC的网口与交换机相连。

配置PLC与控制器IP

PLC IP地址:

默认PLC IP地址: 192.168.0.10

控制器IP地址:

默认传感器IP地址: 192.168.139.5

修改传感器的IP地址

在个人电能上修改IP地址

  1. 在控制面板中,找到网络连接

  2. 找到属于PLC的网口

  3. 右键修改点击属性

  4. 双击Internet版本协议4(Tcp/IPV4)

  5. 点击使用下面IP地址

  6. 在IP地址中输入我们想要设置的IP地址

Ping通信测试

1Ping 192.168.139.5。看看传感器是否在线。

修改传感器IP地址

  1. 打开文件所在位置。

  2. 找到smarteyetool.exe并打开。

  3. 选中192.168.139.5点击添加IP地址。

  4. 添加IP地址后,在点击保存文件。

  5. 保存成功后,重启激光软件即可。

MODBUS TCP通讯

确定MODBUS TCP服务端地址。

检测网络

检查设备是否与传感器⽹络在⼀个⽹段中。

例如:

传感器的IP地址是:192.168.0.50

PLC⽹⼝需要设置成192.168.0.20

打开工控机软件

打开专机通讯配置

配置端口号和设备号

保存参数

标定激光传感器

标定说明

1. 标定板取台阶、边缘焊缝,如图所示,识别位置为矩形板的上边沿焊缝,红色线条表示激光线,白色表示边沿焊缝。

2. 调整专机,使得焊枪末端与标定板平面垂直,激光线与参考线垂直居中,使得焊枪末端运动至焊接位置,此时选择标定;此时读取激光传感器的偏移量为接近零;

3. 移动工件使得焊枪末端偏离焊缝位置,此时读取激光传感器的偏移量为非零,如右图所示;

4. 专机根据偏移量调整焊枪的位置,到达图中位置后,传感器发给专机的位置为接近零。

MODBUS 通信说明

寄存器地址说明

只读寄存器地址

描述

作用

00

检测结果

0X00:未识别到焊缝

0XFF:搜索成功

判断焊缝是否识别成功

01

数据延迟时间(当前时间 - 获取数据时间)

判断传感器是否卡死,当数据延时时间大于300ms。

传感器卡死。

02

焊缝对准信号

(偏移量模式下使用)

0X00:未对准

0X01:未设置基准位置

0XFF:焊缝已对准

当在偏移量模式下,偏移量的值很接近 0 时,

会发出焊缝已对准的信号。

一般用在专机寻找起点的功能。

03

Y 值 单位 0.01 毫米 有符号整数

焊缝识别的 Y 值

04

Z 值 单位 0.01 毫米 有符号整数

焊缝识别的 Z 值

05

缝宽 单位 0.1 毫米 有符号整数

焊缝识别的焊缝信息-与具体选择的焊缝有关

06

错边量 单位 0.1 毫米 有符号整数

焊缝识别的焊缝信息-与具体选择的焊缝有关

07

角度 单位 0.1 度(角度) 有符号整数

焊缝识别的焊缝信息-与具体选择的焊缝有关

08

高度 单位 0.1 毫米 有符号整数

焊缝识别的焊缝信息-与具体选择的焊缝有关

09

面积 单位 0.1 平方毫米 有符号整数

焊缝识别的焊缝信息-与具体选择的焊缝有关

10

激光状态

0X00:激光关闭

0XFF:激光开启

11

跟踪状态

0X00:跟踪关闭

0XFF:跟踪开启

只有在开启跟踪状态时,传感器才会不停的向寄存器写入数据

12

工序号状态:

0X00:与 0X102 寄存器不一致

0XFF:与 0X102 寄存器一致

13

数据输出的模式

0X00:绝对模式

0XFF:偏移量模式

14

当前是否是延迟输出数据功能

0X00:实时输出数据

0XFF:延时输出数据

读写寄存器地址

描述(不要一直写入)

作用

100

开关激光

0X00:关闭激光

0XFF:打开激光

控制激光器

101

开关跟踪

0X00:关闭跟踪

0XFF:打开跟踪

只有在开启跟踪状态时,传感器才会不停的向寄存器写入检 测数据

102

传感器工序号(无符号整数)

设置软件界面的激光工序号

103

设置输出数据的模式

0X00:绝对模式

0XFF:偏移量模式

绝对模式:将当前检测的数据直接输出

偏移量模式:将当前检测的数据减基准数据

(必须在开跟踪之前设置数据的输出模式,当跟踪关闭后默认修改为绝对模式)

104

设置基准位置

0X00:清除基准位置

0XFF:设置基准位置

在偏移量模式下,必须要设置基准位置。

基准位置与当前的工序号是关联的。

不同的工序号基准位置可以不一样。

105

开关跟踪(延时输出数据)

0X00:关闭跟踪

0XFF:打开跟踪(打开延迟输出数据功能)

在开启跟踪状态后,数据要达到延迟时间才能输出检测到稳定数据,在关闭跟踪后数据立刻停止输出检测数据。

120

设置当前位置偏移量 X( 单位 0.01 毫米 有符号整数)

在 105 开跟踪时才有用,101 开跟踪这个数据不起作用。在开跟踪后立刻开始连续写数据,若分两次写必须先写 120 在写 121.

当前偏移量 = 当前轴位置 - 基准轴位置

121

设置当前位置偏移量 Y( 单位 0.01 毫米 有符号整数)

在 105 开跟踪时才有用,101 开跟踪这个数据不起作用。在开跟踪后立刻开始连续写数据,若分两次写必须先写 120 在写 121.

当前偏移量 = 当前轴位置 - 基准轴位置

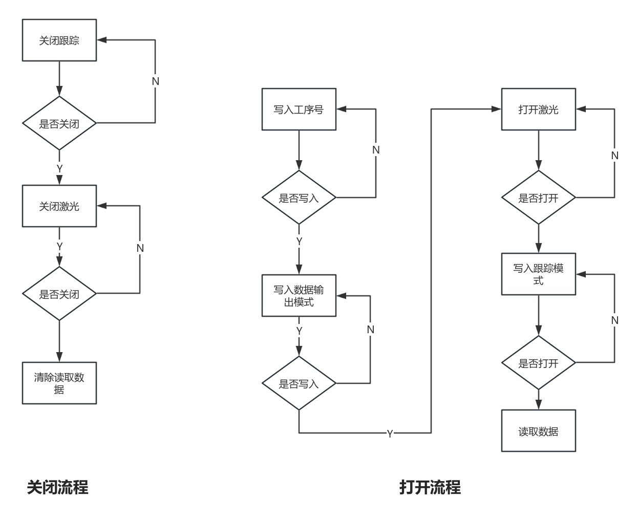
通讯流程说明。

wps

wpswps

焊缝跟踪流程图

wps

焊缝前置距离处理

wps

前置距离处理方法1:

  1. 适用于能获取焊缝坐标的情况。如果焊缝X方向坐标没法获取,则不可以使用这种方法。

  2. 获取焊缝Y方向,与焊缝Z方向坐标,可以通过视觉坐标,与机械坐标计算出来。

  3. 焊缝X方向坐标,可以通过编码器,或者电机脉冲数记录。

前置距离处理方法2:

  1. 适用于传感器固定安装方式,如果传感器跟随焊枪运动,则传感器基准在时刻变化,则不可以使用这种方法。(除非把传感器当前机械偏移量发送给传感器)。

  2. 传感器延时时间在上位机里面设置。设置后延时发送视觉坐标。

PLC程序设计实例

西门子1200程序实例

西门子1200程序实例

设置西门子1200的IP地址为192.168.0.20

西门子1200程序实例

  • 例程以S7-1200 V3.0固件版本为例

  • 本例程包含了 通讯模块 和 运动控制模块 两部分

  • 主程序

要点:

a)使能控制不能一直写入频繁写入会损坏仪器;

b)打开使能时须保证焊缝在激光器视野内;

c)关闭使能时须在焊缝出激光器视野前。

  • 通讯程序

  • 参数说明

接口名称

数据类型

备注1

备注2

Enable

Bool

开始自动跟踪

常为1启动;

ip1

USInt

相机ip1

ip2

USInt

相机ip2

ip3

USInt

相机ip3

ip4

USInt

相机ip4

ipPort

UInt

相机端口号

Camera_ID

USInt

相机地址号

CONNECT_ID

USInt

TCP连接任务号

Process_ID

USInt

激光工序编号

Teach_Location

Bool

示教焊缝位置

上升沿启动;

Yoffset

Int

水平偏移量 1=0.01mm

Zoffset

Int

垂直偏移量 1=0.01mm

Width

Int

焊缝宽度1=0.01mm

Deep

Int

焊缝深度1=0.01mm

CamerEnableStatus

Bool

相机跟踪使能状态

相机跟踪使能

CamerLaserStatus

Bool

激光是否打开

相机激光

CameraAlignStatus

Bool

对准信号

是否与示教位置一致。

Teach_Location_Status

Bool

示教状态;1正在示教,0:不在示教。

  • 运动模块接口解释

Axis_Enable

Bool

轴使能

Target_Location

Int

目标位置

Velocity_H

Real

手动速度

JogForward_H

Bool

手动正转

JogBackward_H

Bool

手动反转

MODE

Bool

true= 自动模式,false=手动模式

Rate

Real

目标位置的比率;

转化为速度的比率

西门子1200通讯FB块

迅捷XL5E PLC通讯实例

通讯参数设置

要点:

  1. 软件通讯端口号也要改为502;详见4.1;

  2. 必须保证PLC与工控机在同一网段;

打开网络连接

打开激光使能,开启跟踪

要点:

a)使能控制不能一直写入频繁写入会损坏仪器;

b)打开使能时须保证焊缝在激光器视野内;

c)关闭使能时须在焊缝出激光器视野前。

查询偏移量

三菱FX5U PLC通讯实例

通讯参数设置

要点:

  1. 软件通讯端口号也要改为6666;详见4.1;

  2. 必须保证PLC与工控机在同一网段;

通讯参数设置

要点:

  1. 寄存器地址不可重复使用;

程序主体

接口名称

数据类型

备注1

备注2

Enable

开始自动跟踪

常为1启动;

Yoffset

字[有符号]

Y方向偏移量

1=0.01mm

Zoffset

字[有符号]

Y方向偏移量

1=0.01mm

CameraLaserDone

激光状态

CameraLocateDone

相机跟踪使能

CameraAlignDone

相机对准信号

FB打开连接

要点:

a)连接不能一直打开,出现异常时需要关闭连接;

b)打开连接时一定要确保参数设置正确;

FB打开使能

要点:

a)使能控制不能一直写入频繁写入会损坏仪器;

b)打开使能时须保证焊缝在激光器视野内;

c)关闭使能时须在焊缝出激光器视野前。

FB查询偏移量

常见问题及处理方法

网络常见问题

  1. 无法连接网络时,尝试是否能 ping 通,关掉重新连接。

  2. 无法连接网络时,查看电脑与传感器的 IP 是不是在同一网段下。

  3. 机器人无法正常连接传感器,查看机器人与传感器的IP 是不是在同一网段下。

  4. 正常工作中发生断电无法建立连接,尝试所有步骤断电重启。

  5. 机器人与传感器无法连接,检查网络线路。

  6. 6传感器无法启动,电源灯不亮时,检查供电线路。

传感器拍摄常见问题

  1. 拍摄时找不到焊缝,激光的实际长度不代表实际工作长度,尽量使焊缝处在激光的中心部位。(最好用电脑实时监控,查看问题时点)

  2. 拍摄时找不到焊缝,看是否有强光直射,(在阳光下直射下,会影响传感器的识别)

  3. 拍摄时找不到焊缝,看工件的材质是否发生变化,是否需要重新配置任务号。

  4. 拍摄时找不到焊缝,观看周围是否有其他干扰因素(焊点,遮挡)

  5. 偏移错误或是偏差较大,看周围干扰因素,(遮挡,找错焊缝,识别到焊点)

传感器使用问题

  1. 传感器视觉坐标,与机械坐标不平衡时。需要进行标定。详见自动标定文档。